【导语】形成自己的宏观观点,或是听别人对宏观或市场进行预测,都是在浪费时间。事实上这是危险的,因为这可能会模糊你的视野,让你看不清真正重要的事实。以下是无忧考网为大家整理的《2017年成人高考专升本《高等数学一》模拟试题【四篇】》希望对大家有帮助。
一、选择题:1~10小题。每小题4分,共40分.在每个小题给出的四个选 项中,只有一项是符合题目要求的。把所选项前的字母填在题后的括号内。
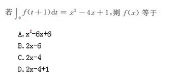
第1题

答案:C
第2题

答案:C
第3题

答案:D
第4题

答案:A
第5题

答案:B
第6题

答案:B
第7题

答案:A
第8题

答案:A
第9题

答案:C
第10题

答案:C
二、填空题:11~20小题。每小题4分,共40分.把答案填在题中横线上。
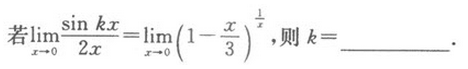
第11题
答案:
第12题
答案:y=1
第13题
答案:f(-2)=28
第14题
答案:0
第15题

答案:

第16题
答案:8
第17题

答案:
第18题

答案:
第19题

答案:

第20题

答案:

三、解答题:21~28题,前5小题各8分,后3小题各10分。共70分.解答应写出推理、演算步骤。
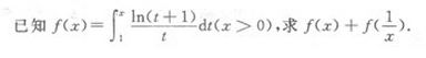
第21题
答案:

第22题

答案:


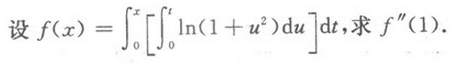
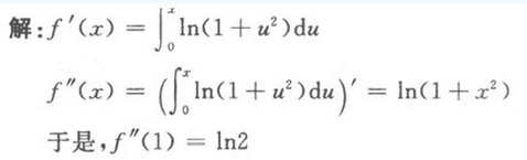
第23题

答案:

第23题

答案:

第24题

答案:

第25题

答案:

第26题
答案:

第27题

答案:

第28题
答案:

现在很多想考研的考生都比较关心的问题 大多都在于研究生的报考条件是什么?考试的 科目有哪些?等等。...
学校地址:地址:无锡市滨湖区惠河路53号-23
咨询热线:400-188-6017
免责申明:网站中部分图片或文字来源于网络,如有侵犯到您的权益,
我们深表歉意,请来电告知,我们立即删除!