您所在的位置:主页 > 题库 > 成人高考 >

成人高考专升本《高等数学》必考题

2017-09-28作者:无锡名联教育 点击量:

  一、选择题:1~10小题。每小题4分,共40分.在每个小题给出的四个选 项中,只有一项是符合题目要求的。把所选项前的字母填在题后的括号内。

  第1题

  答案:C

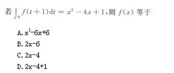
  第2题

  答案:C

  第3题

  答案:D

  第4题

  答案:A

  第5题

  答案:B

  第6题

  答案:B

  第7题

  答案:A

  第8题

  答案:A

  第9题

  答案:C

  第10题

  答案:C

申请免试入学 点击进入咨询 分享到朋友圈

清清楚楚升学历

现在很多想考研的考生都比较关心的问题 大多都在于研究生的报考条件是什么?考试的 科目有哪些?等等。...

1、报名条件
详细学员现状,为学员指定适合自己的技能 学历提升方案
2、报考专业
根据学员职业、未来职业规划等情况,为学 员介绍适合自己的专业及课程
3、院校费用
清楚学员要求后,推荐院校,介绍学校收费 情况.学费可分期支付。
我要咨询报名

学员疑问 更多>

我初中学历,能不能报考大专?
成人高考、网络教育、自考都可以的。
报考大专升本科学费是多少?
成专升本的院校收费一般在5000-8000左 右,你是要报考哪所院校。
我该报考什么专业呢?
请问你现在的职业或者未来发展规划,了 解清楚后,推荐适合你的专业。
我要在线提问

信赖18年金品质 合作院校 专业教育机构 高校教学基地 完备服务系统

学校地址:地址:无锡市滨湖区惠河路53号-23
咨询热线:400-188-6017
免责申明:网站中部分图片或文字来源于网络,如有侵犯到您的权益,
我们深表歉意,请来电告知,我们立即删除!

免费在线咨询

点击咨询在线老师

微信咨询

18961806279

免费咨询热线

400-1886-017

首页

在线咨询

微信咨询

微信扫码,添加企业微信

在线试听

官方微信

关注微信,查看报考信息

回到顶部