一、选择题:1~10小题。每小题4分,共40分.在每个小题给出的四个选 项中,只有一项是符合题目要求的。把所选项前的字母填在题后的括号内。
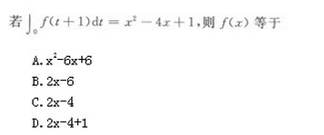
第1题

答案:C
第2题

答案:C
第3题

答案:D
第4题

答案:A
第5题

答案:B
第6题

答案:B
第7题

答案:A
第8题

答案:A
第9题

答案:C
第10题

答案:C
现在很多想考研的考生都比较关心的问题 大多都在于研究生的报考条件是什么?考试的 科目有哪些?等等。...
学校地址:地址:无锡市滨湖区惠河路53号-23
咨询热线:400-188-6017
免责申明:网站中部分图片或文字来源于网络,如有侵犯到您的权益,
我们深表歉意,请来电告知,我们立即删除!